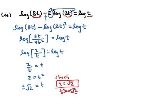
Ashton Williams Blog